Contaminación del Dióxido de Carbono por el Servicio Auto Colectivo en la Ciudad de Cerro de Pasco

 

Jorge Zuriel Curi Aguirre[1]

jcuria@undac.edu.pe

https://orcid.org/0009-0003-7016-1002

Universidad Nacional Daniel Alcides Carrión  Perú

Elias Filimon Ventocilla Estrella

eventocillaes@undac.edu.pe

https://orcid.org/0009-0003-9679-2355

Universidad Nacional Daniel Alcides Carrión Perú

Anderson Marcelo Manrique

amarcelom@undac.edu.pe

 https://orcid.org/0000-0001-9699-2232  

Universidad Nacional Daniel Alcides Carrión Perú

Edson Valery Ramos Peñaloza

eramos@undac.edu.pe

https://orcid.org/0000-0002-5001-0878

Universidad Nacional Daniel Alcides Carrión Perú

 

RESUMEN

En este estudio se utilizó una encuesta para estimar la cantidad de dióxido de carbono (CO2) que generan los servicios de automóviles urbanos en Cerro de Pasco, los principales factores que determinan las emisiones de CO2 son: kilómetros recorridos y consumo de combustible. Mostrar la gravedad de este contaminante presente en la atmósfera según la categoría de vehículos (autos colectivos). Para calcular las emisiones de CO2 se utilizo la fórmula del método indirecto del IPCC, a partir de este cálculo, la emisión promedio de dióxido de carbono de los servicios de automóviles colectivos urbanos es de 0,026 toneladas/día. Basado en el número total de automóviles colectivos en 2019 de 638, las emisiones totales anuales son 16,8 toneladas de dióxido de carbono/día. En comparación con 2019, el total de contaminación emitió a la atmósfera fue 6,119.5 toneladas de dióxido de carbono anualmente.

 

Palabras clave: gases de efecto invernadero; dióxido de carbono; parque automotor; estimación de emisión de fuentes móviles

 

 

 


 

Carbon Dioxide Pollution Due to Collective Car Service in the City of

Cerro de Pasco

 

ABSTRACT

In this study, a survey was used to estimate the amount of carbon dioxide (CO2) generated by urban car services in Cerro de Pasco. The main factors that determine CO2 emissions are: kilometers traveled and fuel consumption. Show the severity of this pollutant present in the atmosphere according to the category of vehicles (collective cars). To calculate CO2 emissions, the IPCC indirect method formula is used. From this calculation, the average carbon dioxide emission from urban collective car services is 0.026 tons/day. Based on the total number of collective cars in 2019 of 638, the total annual emissions are 16.8 tons of carbon dioxide/day. Compared to 2019, the Cerro de Pasco center emitted 6,119.5 tons of carbon dioxide into the atmosphere annually.

 

Keywords: greenhouse gases; carbon dioxide; automotive fleet; estimation of emissions from mobile sources.

 

 

Artículo recibido 25 noviembre 2023

Aceptado para publicación: 30 diciembre 2023

 

 


 

INTRODUCCIÓN

La contaminación atmosférica en una metrópoli es de una gran amenaza en la salud de las personas; teniendo en la mayor influencia en los menores de edad los cuales son los mas vulnerables donde tienen efectos las cuales se tiene una mayor asociación en la morbimortalidad de las enfermedades crónicas y agudas, en mayor incidencia en las respiratorias; entre los contaminantes tenemos al material particulado (PM 2,5 y PM 10), el dióxido de azufre, dióxido de nitrógeno y el ozono; entre los contaminantes secundarios se tiene, el ozono troposférico, COV, el metano las cuales son de origen industrial y del parque automotor (Ortega-García et al., 2020).

La población de Pasco no es la excepción, donde las emisiones de CO2 han tenido un crecimiento exponencial en los últimos años debido a un factor importante el cual es el parque automotor de servicio público que cubren diversas rutas en la ciudad, el consumo de combustibles líquidos procedentes del petróleo incide directamente en el efecto invernadero (Canciano Fernández et al., 2021). Según (Dilas-Jiménez et al., 2020), indica que se tuvo como resultado, las emisiones colectivas de los tubos de escape de los automóviles representan aproximadamente el 60% del efecto invernadero global y provocan que grandes cantidades de energía térmica queden atrapadas en la atmósfera, lo que provoca un aumento de las temperaturas medias del planeta.

A raíz del aumento del dióxido de carbono (CO2), en la atmósfera debido a la funcionalidad del transporte público, lo cual está contribuyendo significativamente al efecto invernadero en todo el mundo, las emisiones de dióxido de carbono (CO2) se producen por una mala combustión en el interior de los vehículos de servicio público y pueden ocasionar daños a la salud como son dolores de cabeza, mareos, somnolencia y problemas respiratorios, dependera de las concentraciones del CO2 y su tiempo al que uno esta expuesto; por otra parte se tiene cambios en la calidad del aire lo cual tendra repercusiones  y daños ambientales locales, regional, nacional y mundial (Vivanco 2015). Por otra parte (Rengifo-Arana, 2021) menciona que se debe reducir las emisiones de gases de efecto invernadero en un porcentaje de 5,2 en periodos de tiempo del 2008 al 2012, en ese sentido la ONU creo los mecanismos de desarrollo limpio donde los paises industrializados cumplan con los compromisos asumidos en los años 2008 al 2012, en la implementación del Protocolo de Kyoto se debe dar con diversos poryectos en los paises en vias de desarrollo para una reducción de las emisiones de CO2 y asi capturar el carbono a traves de los bosques, lagos, lagunas y océanos

En los años 2001 y 2002, el Estado Peruano implementó el Grupo de Investigación en Tecnología Ambiental de Calidad del Aire, y del 2002 al 2004 realizó diagnósticos de línea base en 13 ciudades claves amparadas en el D.S. N° 074.-2001-PCM donde se incluyeron ciudades como Piura, Chiclayo, Trujillo, Chimbote, Lima, Pisco, Arequipa, Iquitos, La Oroa, Cusco, Ilo y Cerro de Pasco, la estación de monitoreo de calidad del aire en la Cuenca Atmosférica de Pasco solo realizó muestreos a nivel de micras, muestreo de dióxido de nitrógeno, dióxido de azufre, cobre, plomo, manganeso, hierro, cromo y cadmio del 2006 al 2011 para material particulado de 2,5 y 10 um. Por lo tanto, no se realizaron mediciones de la contaminación de CO2 y las emisiones de efecto invernadero de la flota vehicular de Cerro de Pasco, el rango de medición se limitó a material particulado y algunos metales.

La presencia de sustancias químicas, partículas y microorganismos en el ambiente que alteran la calidad ambiental y la posibilidad de vida se conoce como contaminación atmosférica. Esta contaminación puede tener causas naturales o antropogénicas, siendo la quema de combustibles fósiles por los vehículos de combustión interna uno de los principales contaminantes del aire (Córdova-Mendoza et al., 2021).

En la actualidad existen tipos de contaminantes atmosfericos tal como lo indican Leal-Esper & Castiblanco-Ramírez (2020), donde existen dos grupos principales de contaminantes, que son emisiones desde una fuente movil o estacionaria y por consiguiente se han formado en la atmósfera, estos son los contaminantes primarios y secundarios.

a) Contaminantes Primarios

Son sustancias de diferentes naturalezas y composiciones químicas, emitidas directamente a la atmósfera de fuentes puntuales y en movimiento, entre ellos se encuentran el monóxido de carbono (CO), el plomo (Pb), óxidos de azufre (SOx), óxidos de nitrógeno (NOx), dióxido de carbono (CO2) hidrocarburos (HC), material particulado (PM), entre otros (Jaramillo Rojas & Toro Gómez, 2020).

b) Contaminantes Secundarios

Los contaminantes secundarios no emitidos directamente de las fuentes, se forman a partir de los contaminantes primarios donde existe reacciones químicas en la atmósfera, se tiene los más importantes como son el ozono troposférico (O3), nitratos de peroxiacetilo (PAN), sulfatos (SO4), nitratos (NO3), ácido sulfúrico (H2SO4), entre otros (López-Zambrano & Piñón-Gámez, 2023).

Desde el punto de vista del ser humano, la contaminación atmosférica se refiere a los diversos contaminantes los cuales deterioran la salud y tambien el bienestar de las personas, por otra parte nos indican Zegarra Tello et al (2021), que según su origen se puede clasificar las fuentes de contaminantes son: naturales y antropogenicas, donde las naturales siempre existio, cosa que no sucede con los contaminantes antropogenicos exiten a las diversas actividades de los seres humanos en su vida diaria.

La contaminación atmosférica se da por las diversas actividades antropogenicas, donde la mayor cantidad de emisiones proviene de los combustibles fósiles como son el petroleo, carbón y por supuesto el gas, las principales actividades que genean la contaminación atmosferica esta en el parque automotor; las diversas emisiones son provenientes de la combustión de los vehiculos los cuales generan la mayor emisión de contaminantes en el aire, la proporción de la contaminación va depender del tipo de combustible que se utiliza, el tipo del motor, como tambien el uso de los catalizadores y de la cantidad del trafico (Guevara Mamani et al., 2023).

Las fuentes móviles, como los automóviles, taxis y combis, emiten contaminantes durante su recorrido; los vehículos livianos producen la mayor cantidad de gases para la contaminación atmosférica, aunque la contaminación generada por un solo vehículo es baja en comparación con la de una chimenea industrial, la cantidad de vehículos existentes en el mundo la convierte en una de las principales fuentes de contaminación atmosférica (Rivera et al., 2020). Por otra parte Rassi et al., 2021), donde mencionan que es difícil medir las emisiones contaminantes de cada vehículo, por lo que es necesario utilizar herramientas adecuadas para estimarlas, donde las emisiones de los vehículos están compuestas por una variedad de contaminantes, como los NOx, SOx, COV, CO y partículas en suspensión. También incluyen gases de efecto invernadero, como el dióxido de carbono, que influyen en el clima.Las emisiones de los vehículos están integradas por un gran número de contaminantes que provienen de muchos procesos diferentes (Gutiérrez Quintero et al., 2021). Donde los contaminantes que se encuentran en nuestra atmosfera en mayor cantidad son NOx, SOx, COV, CO, y PM por otra parte también se incluyen los que producen los gases efecto invernadero donde tiene influencia el clima, como es el CO2 (Chávez Cabellos & Chávez Cabello, 2019).

Hernández Cerda et al (2023), menciona que que se inicio el calcilo de la estimación de los factores de emisión donde se calculaba el monoxido de carbono, los oxidos de nitrogeno, bioxido de carbono e hidrocarburos que eran emisiones de los vehiculos en la ciudad de Mexico, donde se utiliza el software Mobile 6, seguidamente se analizo emisiones de diferentes contaminantes en la atmosfera en un periodo determinado donde las emisiones aumentaron los siguientes gases como el Monóxido de Carbono, los Óxidos de Nitrógeno, las emisiones de Hidrocarburos y el Bióxido de Carbono; este último se muestra como el contaminante de aumento constante.

Tambien (Montufar-Paz et al., 2021), Recopilaron diversas informaciones sobre el consumo de combustible, los patrones de conducción, las diversas señales de sensores de los vehículos, también la densidad volumétrica de CO, THC, CO2, O2, NOx en la zona urbana a los vehículos de servicio publico que utilizan gasolina de dos tipos de octanajes, los monitoreos se realizaron en 8 meses donde seleccionaron a 10 marcas mas populares en la ciudad, la cual tiene una altitud de 2700 m.s.n.m., donde se utilizo un analizador de emisiones de marca Maha Met 6.3, con su programa el cual proporciono en tiempo real los datos donde se obtuvo 52 parámetros de funcionamiento de cada vehículo, a partir de la concentración volumétrica que se obtiene en cada punto se obtuvo diversos factores de emisión en el método de balance de carbones.

Chomba Núñez & Valerio Machaca (2021), indican que a nivel mundial se tiene un problema fundamental que es la contaminación atmosférica o del aire donde el Perú se encuentra en la ubicación 33 a nivel mundial de los países con altas concentraciones de contaminantes, entre ellos tenemos al material particulado menores 2,5 micras (PM 2,5) los cuales son los mas peligrosos, por su dimensión y la gran capacidad de introducirse en el sistema respiratorio de las personas; al pasar los años el incremento vehicular en especial el de transporte masivo es una de las causas principales de la contaminación, en el Perú no hay políticas eficientes sobre el cuidado de la calidad del aire, es por ello que se tiene un objetivo de evaluar la calidad del aire en escenarios de congestión vehicular provenientes del parque automotor del distrito de San Borja y se utilizara como referencia los ECA aire que es el D.S. N° 003 – 2017 – MINAM.

El poco interés de las instituciones públicas involucradas en el tema de investigación que va acrecentando le impacto ambiental en el aire y el descocomiento de sus efectos globales por parte de la población, el cual no tiene como prioridad a pesar de ser uno de los objetivos de desarrollo sostenible. El ser servicio de transporte público urbano (auto colectivo) de la ciudad de Cerro de Pasco de la provincia y región Pasco, tiene un incremento sustancial en los ultimos 15 años, teniendo un factor alto de un parque automotor de vehiculos antiguos, cuyas  emisiones del CO2 emitidas de los tubos de escape de las unidades móviles, no son monitoreados.

El objetivo principal es la de estimar la cantidad de CO2 proveniente de la actividad de autos de servicio publico en la ciudad de Cerro de Pasco, luego para determinar su influencia en las emisión de CO2 a la atmosfera en relación al consumo de combustible y el recorrido de los vehiculos para asi mismo marcar una linea base para la búsqueda de estrategias para la implementación de nuevas tecnologías limpias en base a los resultados.

METODOLOGÍA

El presente estudio cumple con las condiciones metodológicas para un tipo de investigación aplicada, donde se utilizó conocimiento de las ciencias ambientales, y este tipo de investigación se enfoca particularmente en estimar el dióxido de carbono generado por el transporte público urbano en la ciudad de Cerro de Pasco ocurrido en el 2019.

El modelo de investigación se realizó de manera no experimental según (Hernández-Sampieri y Mendoza 2018), porque el estudio midió colectivamente sobre variables fijas, los datos se recolectaron simultáneamente y durante un período de tiempo. El objetivo fue conocer y estimar las emisiones de dióxido de carbono del transporte público.

La población incluye todas las unidades móviles del servicio de vehículos colectivos urbanos, con una población total de 638 personas ubicadas en la ciudad de Cerro de Pasco en el 2019, tomando en cuenta unidades vehiculares de tipos y modelos presentes en el mercado automotriz.

La muestra está compuesta por unidades móviles obtenidas especialmente de 65 vehículos colectivos ubicados en el casco urbano de Cerro de Pasco y registrados ante el Municipio de la Provincia de Pasco. Es importante debido que la muestra es representativa con precisión según los objetivos alcanzados en la investigación. (José 2021)

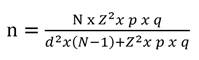
El formato de muestreo fue simple y aleatorio, ya que la muestra se centró en empresas automotrices colectivas de la zona urbana, ya que las características estudiadas en cuanto a las emisiones de CO2 presentadas fueron homogéneas. Dado que la muestra es relevante y representativa, y dado que la población que utiliza el transporte público urbano es limitada, se utilizó la siguiente fórmula según (Otzen 2017):

Para recolectar datos se aplicaron técnicas de encuesta al transporte público, especialmente a los conductores de vehículos colectivos del municipio de Cerro de Pasco. se dispone de gasolina de octanaje 90, 95 o 97 con un contenido de alcohol de combustible de 7.8%. Los vehículos utilizados en el transporte público urbano son vehículos ligeros equipados con motores de gasolina, lo que conlleva diversidad de marcas y características de motorización.

Para procesar y analizar los datos, se fundamento en fórmulas matemáticas mediante tabulación de datos, lo que ayudo a calcular la cantidad de emisiones de dióxido de carbono que contaminan la atmósfera debido al funcionamiento de los servicios de automóviles en las zonas urbanas.

RESULTADOS Y DISCUSIÓN

La información obtenida según la unidad de análisis representada por los vehículos de transporte masivo automotor del Municipio de Cerro de Pasco, mediante la realización de una encuesta a 65 conductores de vehículos de transporte, tiene como objetivo esclarecer la relación que existe entre el consumo de combustible y las rutas de tránsito asociadas a las a las emisiones de CO2. en la ciudad de Cerro de Pasco. Los resultados se analizaron entre categorías para hacer inferencias a un nivel de significancia estadística del 5%, utilizando una prueba Z para determinar el efecto entre el consumo de combustible y el recorrido de los móviles, que se obtuvieron de las variables. Los resultados de la encuesta realizada a los transportistas con respecto al consumo de combustible y recorrido de los vehículos que brindan el servicio de auto colectivo en la ciudad de Cerro de Pasco.


 

Tabla 1: Combustible

E.T. Urbano

Vehiculos

Distancia km (ida y vuelta)

gal/día/vehículo

Total

gal/día

 

a

b

d

e=(a x d)

Alfa 2000

85

8.68

3

255

Pasco Libre

30

8.45

3

90

Union Paragsha

55

5.12

3

165

Jose Carlos M.

23

5.84

3

69

El Minero

30

9.28

3.5

105

Transdel

45

8.76

3

135

Diamante Tour

58

8.25

3

174

27 De Noviembre

85

11.33

5

425

Orgullo SA

54

9.35

3.5

189

Jhunior SA

62

11.26

4.5

279

Taxi Pasco

60

8.54

3

180

Mas Rapidos

51

9.42

3.5

179

 

Estado del combustible influye en las emisiones de CO2. Cuando la temperatura baja, los automiviles enciende el sistema de calefacción, lo que provoca que se consuma más combustible, aumentando las emisiones locales de dióxido de carbono. El terreno de Cerro de Pasco presenta tramos con pendientes moderadas que provocan que los vehículos consuman más combustible, lo que genera mayores emisiones locales de dióxido de carbono. Conocimiento mínimo de los transportistas sobre los efectos de las emisiones de CO2 en el calentamiento global a nivel local. Uso excesivo de hidrocarburos (gasolina) para operar vehículos masivos.

Tabla 2: Recorrido

E.T. Urbano

N° Vehiculos

Distancia km (ida y vuelta)

km/día/vehículo

Total km/día

 

a

b

c

f=(a x c)

 Alfa 2000

85

8.68

130

11067

Pasco Libre

30

8.45

127

3803

Union Paragsha

55

5.12

77

4224

Jose Carlos M.

23

5.84

88

2015

El Minero

30

9.28

139

4176

Transdel

45

8.76

131

5913

Diamante Tour

58

8.25

124

7178

27 De Noviembre

85

11.33

170

14446

Orgullo SA

54

9.35

140

7574

Jhunior SA

62

11.26

169

10472

Taxi Pasco

60

8.54

128

7686

Mas Rapidos

51

9.42

141

7206

 

Condiciones de recorrido influyen en las emisiones de CO2. Cuanta mayor distancia recorran los vehículos, mayor será la cantidad de emisiones de CO2 que emite el parque de vehículos a nivel local. El terreno de Cerro de Pasco, presenta tramos con pendientes moderadas que provocan que los vehículos consuman más combustible, lo que genera mayores emisiones locales de dióxido de carbono. Hay sectores en las carreteras que están en malas condiciones, lo que provoca el desgaste de los neumáticos y un alto consumo de combustible.

Tabla 3: Calculo de CO2 del transporte público urbano de auto colectivo de medición por dia.

E.T. URBANO

Recorrido

(Km/día)

Emisión

( g CO2/día)

Emisión

(TmCO2/día).

tipo de emisión

 

a

b = (a x 195.5) *

c = (b/1000000)

 Alfa 2000

11067

2163599

2.2

Directa

Pasco Libre

3803

743389

0.7

Directa

Union Paragsha

4224

825792

0.8

Directa

Jose Carlos M.

2015

393893

0.4

Directa

El Minero

4176

816408

0.8

Directa

Transdel

5913

1155992

1.2

Directa

Diamante Tour

7178

1403201

1.4

Directa

27 De Noviembre

14446

2824144

2.8

Directa

Orgullo SA

7574

1480619

1.5

Directa

Jhunior SA

10472

2047237

2.0

Directa

Taxi Pasco

7686

1502613

1.5

Directa

Mas Rapidos

7206

1408832

1.4

Directa

*Factor de conversión 195.5 g CO2/Km

 

Tabla 4: Calculo de CO2 del transporte público urbano de auto colectivo de medición enero– diciembre

E.T. Urbano

Recorrido

(Km/año)

Emisión

( g CO2/año)

Emisión

(TmCO2/año).

tipo de emisión

 

a

b = (a x 195.5)

c = (b/1000000)

 Alfa 2000

4039455

789713452.5

789.7

Directa

Pasco Libre

1387913

271336893.8

271.3

Directa

Union Paragsha

1541760

301414080

301.4

Directa

Jose Carlos M.

735402

143771091

143.8

Directa

El Minero

1524240

297988920

298.0

Directa

Transdel

2158245

421936897.5

421.9

Directa

Diamante Tour

2619788

512168456.3

512.2

Directa

27 De Noviembre

5272699

1030812606

1030.8

Directa

Orgullo SA

2764328

540426026.3

540.4

Directa

Jhunior SA

3822207

747241468.5

747.2

Directa

Taxi Pasco

2805390

548453745

548.5

Directa

Mas Rapidos

2630300

514223552.3

514.2

Directa

El nivel de contaminación de CO2 obtenido de lss tablas 3 y 4 muestra que el consumo de combustible de los vehículos masivos según el proyecto de investigación es de 3.52 gal/día/vehículo, comparado con el 2019 en las zonas urbanas de Cerro de Pasco. En cuanto a la distancia en kilómetros a vehículos masivos, según el trabajo de investigación es de 8.96 km/viaje/vehículo, respecto al 2019 para el área metropolitana de Cerro de Pasco. La cantidad de contaminación de CO2 generada por vehículos masivos en la ciudad de Cerro de Pasco es de 0.026 toneladas de CO2 por día, en comparación con el 2019 para el municipio de Cerro de Pasco. La contaminación de CO2 por el servicio masivo de automóviles en la ciudad de Cerro de Pasco es de 16.8 toneladas de CO2 por día y un total estimado para todo el año de 6119.5 toneladas de CO2 por año emitidas a la atmósfera en comparación con el área metropolitana de Cerro de Pasco para 2019.

CONCLUSIONES

Las emisiones de CO2 en el 2019 por vehículos motorizados, representa una fracción significativa, en la ciudad de Cerro de Pasco, los autos de servició colectivo emiten 16.8 toneladad por día, que en un año ascienden a 6119.5 toneladas.

Según investigaciones realizadas en la ciudad de Cerro de Pasco el 2019, los autos colectivos consumen 3.52 gal/día/vehículo, y la ruta promedio de los vehículos es de 8.96 kilometros. 

La estrategia de reducción de emisiones de CO2 para el servicio de transporte público de Cerro de Pasco, será mediante la renovación con vehículos nuevos, la municipalidad debe de realizar mantenimiento de las pistas y usando combustibles limpios.

REFERENCIAS BIBLIOGRAFICAS

Canciano Fernández, J., Reinosa Valladares, M., & Fernández Martínez, X. (2021). Estimation of the carbon footprint in paper production in Cuba. Avances, 23(4), 431–442. https://www.researchgate.net/profile/Janet-Canciano/publication/355196836_Estimacion_de_la_huella_de_carbono_en_la_industria_papelera/links/625ffffe8cb84a40ac7c563b/Estimacion-de-la-huella-de-carbono-en-la-industria-papelera.pdf 

Chávez Cabellos, B. M., & Chávez Cabello, R. E. (2019). Anthropogenic activities as emitting sources of atmospheric contamination and their influence on air quality in the city of Pucallpa, Peru. Revista de Ciencias Humanas y Sociales, 90, 213–238. https://dialnet.unirioja.es/servlet/articulo?codigo=8190021

Chomba Núñez, C. A., & Valerio Machaca, M. G. (2021). Evaluación de la calidad de aire en escenarios de congestión vehicular provenientes del parque automotor - distrito de San Borja, 2021 [Tesis Pre Grado, Universidad Cesar Vallejo]. In Repositorio Institucional - UCV. https://repositorio.ucv.edu.pe/handle/20.500.12692/86068

Córdova-Mendoza, P., Barrios-Mendoza, T. O., & Córdova-Barrios, I. C. (2021). Primera caracterización de emisiones contaminantes y la calidad del aire en Ica, Perú. Revista Cubana de Química, 33(1), 138–152. https://orcid.org/0000-0002-6466-7766

Dilas-Jiménez, J. O., Oetecho Llanos, R., & Alvarez Ticllasuca, A. (2020). Captura de Carbono: Un enfoque sobre el cambio climático y los servicios ecosistémicos en el Perú. Alpha Centauri, 1(2), 1–14.https://www.researchgate.net/profile/Josue-Dilas-Jimenez/publication/344790172_Carbon_Sequestration_A_Focus_on_Climate_Change_and_Ecosystem_Services_in_Peru/links/5f908b7392851c14bcdafeb6/Carbon-Sequestration-A-Focus-on-Climate-Change-and-Ecosystem-Services-in-Peru.pdf

Guevara Mamani, M., Calcina Álvarez, D. A., Huarca Flores, P., Marca Flores, O. H., Ramirez Benavides, C., & Ancco Torres, R. (2023). Los sectores económicos-sociales y la contaminación del aire en Perú, 1970-2020. Alfa Revista de Investigación En Ciencias Agronómicas y Veterinaria, 7(19), 72–87. https://doi.org/10.33996/REVISTAALFA.V7I19.199

Hernández Cerda, C. N., Ávila Galarza, A., & Cerda Alonso, D. G. (2023). Impacto de la movilidad urbana en la calidad del aire de la zona metropolitana de San Luis Potosí, México. Revista de Ciencias Ambientales, 57(1), 1–27. https://doi.org/10.15359/RCA.57-1.8

Jaramillo Rojas, A. C., & Toro Gómez, M. V. (2020). Estimación de la fracción inhalada de contaminantes primarios del aire en la ciudad de Medellín. Revista Internacional de Contaminación Ambiental, 36(3), 623–643. https://doi.org/10.20937/RICA.53417

José Luis Arias G., Mitsuo Covinos Gallardo (2021) Diseño y metodología de la investigación Primera edición digital, Editado por: Enfoques Consulting EIRL Prolongación Avenida Ejercito 618, ISBN: 978-612-48444-2-3

Leal-Esper, Y. E., & Castiblanco-Ramírez, E. (2020). La contaminación atmosférica en el municipio de san José de Cúcuta – Colombia. Saber, Ciencia y Libertad, 15(1), 176–191. https://doi.org/10.18041/2382-3240/SABER.2020V15N1.6309

López-Zambrano, A. J., & Piñón-Gámez, A. (2023). Estrategia para disminuir afecciones de salud producidas por la contaminación del aire en la ciudad de Milagro, Ecuador. MQRInvestigar , 7(4), 1549–1570. https://doi.org/10.56048/MQR20225.7.4.2023.1549-1570

Montufar-Paz, P. A., Huertas-Cardoso, J. I., Cuisano-Egusquiza, J. C., & Pérez-Fiallos, J. F. (2021). Desarrollo de un ciclo de conducción por micro viajes y obtención de los factores  de emisión. Dominio de Las Ciencias, 7(4), 1001–1019. https://doi.org/10.23857/DC.V7I4.2143

Ortega-García, J. A., Martínez-Hernández, I., Boldo, E., Cárceles-Álvarez, A., Solano-Navarro, C., Ramis, R., Aguilar-Ros, E., Sánchez-Solis, M., & López-Hernández, F. (2020). Contaminación atmosférica urbana e ingresos hospitalarios por asma y enfermedades respiratorias agudas en la ciudad de Murcia (España). Anales de Pediatría, 93(2), 95–102. https://doi.org/10.1016/J.ANPEDI.2020.01.012

Otzen, t. & Manterola C. Técnicas de muestreo sobre una población a estudio. ( 2017) Int. J. Morphol., 35(1):227-232. https://www.scielo.cl/pdf/ijmorphol/v35n1/art37.pdf

Gutiérrez Quintero, V., Meneses Ruiz, E., Roig Rassi, A., Guevara Luna, M. A., & Belalcazar, L. C. (2021). Use of satellite data for estimation of air pollution by particulate matter in Havana. Revista Cubana de Meteorología, 27(1), 1–12. https://www.researchgate.net/publication/351109170

Rengifo-Arana, J. M. (2021). Política y emisiones de gases de efecto invernadero: el caso de hidrosogamoso como mecanismo de desarrollo limpio. Gestión y Ambiente, 24(2), 91–106. https://doi.org/10.15446/ga.v24nsupl2.86586

Rivera, N., Mata, C., Lalangui, J., Bermeo, A., Valdez, L., & Morocho, J. (2020). Análisis de emisiones contaminantes originados por el parque automotor en Cuenca. Revista Ibérica de Sistemas y Tecnologías de Información, E30, 376–392. https://www.proquest.com/openview/1efbc5d7cdd350b1d8db42721dd0fc72/1?pq-origsite=gscholar&cbl=1006393

Vivanco Pardo Santiago Manuel. (2015). Emisión de dióxido de carbono de vehículos automotores en la ciudad de Loja (tesis de pregrado) Loja. Universidad Nacional de Loja – Ecuador.

Zegarra Tello, J. I., Cabrera Carranza, C. F., & Moore Torres, R. (2021). Tendencias y escenarios de la contaminación del aire por origen automotriz en Lima Metropolitana. Revista Del Instituto de Investigación de La Facultad de Minas, Metalurgia y Ciencias Geográficas, 24(47), 211–220. https://doi.org/10.15381/iigeo.v24i47.20640

Hernández-Sampieri, R., y Mendóza, C. (2018). Metodología de la investigación, las rutas cuantitativa cualitativa y mixta. Ciudad de México, México: Mc Graw Hill. doi:ISBN 978-1-4562-6096-5 



[1] Autor principal

Correspondencia: jcuria@undac.edu.pe